15 самых интересных альбомов января и февраля 2025. В этом выпуске: Dream Theater в двух ипостасях; целая куча популярных инди-рокеров решили выпустить свои однообразные альбомы именно в начале 2025-го, но все поскользнулись на банане (ну ладно, кое-кто всё же добрался до топа); а в финале две aesthetic girls выясняют между собой чей стиль изящнее и элегантнее - норвежка с эмиратским бэкграундом или француженка с армянским? Ничто уже не в силах превзойти лучшую песню 2025-го, но можно хотя бы попытаться найти другую интересную музыку.
15. Zalia - Serce
🇵🇱 Poland / February 20 / 0,768 / 🌟
Spotify / Apple Music / Yandex Music
alt-pop / indie pop
Открывающий дайджест альбом принадлежит Julia Zarzecka, которая выступает под сокращённым мононимом Zalia. Залия ведёт насыщенную жизнь, к счастью не пересекающуюся между собой: в Польше она наиболее известна как ведущая и судья ТВ-шоу Rap Generation, с удовольствием отправляясь на featuring с популярными рэперами, чтобы быть той самой девушкой для припева - такая польская версия Нелли Фуртадо, и это не преувеличение, одна из песен подозрительно напоминает Promiscuous. При этом в её альтернативной творческой жизни она работает как превосходный клапан Теслы, не пропускающий рэп даже с следовых количествах, записывая мечтательный и контрастный инди поп, украшенный яркими припевами и фактурной бас гитарой, прогуливающейся симпатичными риффами вдоль её небольшого 32-минутного альбома.
14. Gina Été - Prosopagnosia
🇨🇭 Switzerland / February 7 / 0,769 / 🌌
Spotify / Apple Music
alternative pop / indie rock
Загадочный альбом, который вообще не должен был попасть сюда, а скорее болтаться на кромке последних мест бонусного дайджеста, и скорей всего, не попасть даже туда. Но новая формула требует очень внимательного переслушивания альбома несколько раз, чтобы выставить оценки за маленькие нюансы... и альбом с каждым прослушиванием расцветал, в итоге набрав достаточно баллов, чтобы обойти массу именитых исполнителей, оставив их всех в бонусах, и зацепиться за топ-15. Словно бы прозопагнозия, ставшая темой альбома, всё же преодолима, если раз за разом вглядываться в одно и то же лицо, пока наконец ты не сможешь его не только запомнить, но и полюбить. Gina Été - артистка родом из Цюриха, которая пишет преимущественно электронную музыку, с драм-машинами и россыпью различных синтезаторов, однако при случае любит и акустические инструменты, гитары или струнно-смычковые. Основной язык альбома английский, но пару раз Gina Été отвлекается на французский и цюрихдойч: алеманнский диалект немецкого. Интересно, что её первый альбом “Erased by Thought”, вышедший в 2021-м году, имеет равный баланс английского и швейцарского немецкого, и выглядит еще более интересной работой - послушайте хотя бы композицию “Lach Du Nur”, чтобы составить впечатление.
13. Dream Theater - Parasomnia
🇺🇸 US, Massachusetts / February 7 / 0,775 / 🌟
Spotify / Apple Music
progressive metal / progressive rock
Dream Theater вернулись с достаточно неплохим альбомом - меньше экспериментов, больше сдержанного самоповтора, в смысле принятия своего ветеранского статуса прог-метал легенд и работе на поддержание актуальных фанатов, без попыток расширить фанбазу, тем более что все такие попытки за последние много лет вызывали скорее разочарование, чем рост. Но виртуозность всё еще присутствует на альбоме, моменты вроде пассажа 32-ми нотами в размере 7/8 на Night Terror (6:55) впечатляют. По старой традиции Dream Theater заканчивают альбомы одной супер длинной песней, которая создана специально чтобы занять собой всю последнюю сторону виниловой пластинки, и в этот раз она представляется менее интересной, чем прошлая “A View from the Top of the World”, звучащая как монолитный эпик. “The Shadow Man Incident” скорее ощущается инфлировавшей, расширенной интересными фрагментами, которые слабо стыкуются между собой, что заметно, когда после паузы одновременно меняется и темп, и лад, и тональность. Также не обошлось и без скандала - для обложки и артбука группа наняла известного художника Хью Сайма, который вместо того, чтобы что-то рисовать, решил тихо сгенерировать нейромазню, но на этом не остановился, а продал один и тот же промпт как минимум дважды. Но не волнуйтесь, это не первый раз, когда DT контактирует с AI, много лет назад в 1997 году для них уже писал песню прототип нейросети под кодовым названием Дезмонд Чайлд, также продававший одну и ту же песню несколько раз.
12. Franz Ferdinand - The Human Fear
🇬🇧 UK, Scotland / January 10 / 0,775 / 🌟
Spotify / Apple Music
alternative rock / indie rock / indietronica / new wave / post-punk revival
Franz Ferdinand поддерживает не очень высокий метаболизм, за 20 с лишним лет они выпускают лишь 6-й альбом, с самым большим перерывом со времён выхода “Always Ascending”. Но это даже в плюс - возрастные группы часто выпускают альбомы не потому, что переполнены вдохновением, а по контрактным обязательствам, требующим релиза каждые условные 3 года. “The Human Fear” не производит впечатления механического релиза, собранного из 2-3 новых хитов и остаточного балласта, как раз напротив - альбом интересно слушать даже забираясь в глубины второй половины, чего стоит только “Black Eyelashes”, где Алекс Капранос обращается к своим греческим корням по линии отца, услышать арт-роковую фантазию на тему ребетико было действительно неожиданно.
11. Deep Sea Diver - Billboard Heart
🇺🇸 US, Washington / February 28 / 0,779 / 🌙
Spotify / Apple Music
alternative rock / indie rock / dream pop / grunge / garage rock / shoegaze
История Deep Sea Diver это 15 лет упорного труда, чтобы наконец быть замеченными и считаться полноценным tier-2 коллективом. Дело не в музыке: невозможно сказать, что за эти долгие годы Джессика Добсон и её коллектив поняли нечто важное, и наконец научились писать музыку - нет, Deep Sea Diver всегда были супер крутым бэндом, и если вам такая музыка по душе, то можете включать хоть дебютный альбом “History Speaks” 2012-го года, уже тогда они звучали великолепно. Скорей Deep Sea Diver демонстрация того, насколько нужно быть последовательными и упёртыми, чтобы шаг за шагом увеличивать круг своих фанатов, пока не пройдёт достаточно времени, чтобы набралась критическая масса, и вдруг все вокруг напишут, что ковидный альбом “Impossible Weight” стал первым успешным, затем Pearl Jam приглашают вас в тур на разогреве, а четвертый альбом “Billboard Heart” закрепляет ваш статус как успешной и признанной группы.
10. Marko Hietala - Roses from the Deep
🇫🇮 Finland / February 7 / 0,790 / 🌙
Spotify / Apple Music / Yandex Music
heavy metal / hard rock / prog rock
Кто мог подумать, что после ухода из Nightwish у Марко Хиеталы будет хоть какая-то творческая жизнь? Тем более, что во время расставания он сказал, что отходит от публичной жизни и просит его не беспокоить. И вот вдруг неожиданный и полноценный сольник “Roses from the Deep”. История той музыки, которую мы сейчас называем олдскульным роком, это эпоха изобретателей, которая постепенно свернулась с приходом понимания, что слушатель рока в массе своей не настолько взыскательный, и удовлетворится обычной пентатоникой. Оттого движение против потока, какое показывает Марко Хиетала с его новым альбом, столь показательно - занимательные риффы возникают тут и там, и чувствуется, что Марко вложил все свои любовь и усердие в работу над этой записью. Особняком, конечно, стоит великолепная “Left on Mars”, воссоединение с Тарьей Турунен, такая песня хайпанула бы в любом случае, но Хиетала сочинил отличный рифф, который одно удовольствие сесть и разучить на гитаре.
09. Matilda Mann - Roxwell
🇬🇧 UK, England / February 28 / 0,793 / ☄️
Spotify / Apple Music
folk pop
Дебютный альбом Матильды Манн, записанный о любви и с любовью, с почтительной оглядкой на стилистику boygenius, Clairo, dodie и Lizzy McAlpine. Матильда начала свою карьеру с живых выступлений в 2019-м, и старательно обкатывала каждую песню в лайвах, прежде чем пустить её в студийный релиз. Это дало путь многим красивым песням, как “The Loch Ness Monster” или “Doomsday”. Её ранние EP определенно заслуживают внимания. Спустя 6 лет она пришла к полноформатному альбому, в интервью она сказала, что все эти годы она отбирала и откладывала для альбома те песни, которые хорошо будут звучать вместе. Единство вкуса продолжается и на клипах, которые несправедливо обделены просмотрами, однако они драматургически выстроены и скреплены общими темами воображаемых реальностей, а также ощущением деперсонализированной ординарности - Матильда предстаёт в образах бесчисленных девушек, будь то в зале ресторана, или сквозной горизонтальный путь через множество квартир. Все шесть клипов интересно смотреть, Матильда нашла отличного начинающего режиссёра для реализации её идей.
08. Little Juke - Departures From The States Of Mind
🇬🇧 UK, England / February 13 / 0,803 / 🌌
Spotify / Apple Music
indie rock / folk / trip-hop / alternative rock
Атмосферный и глубокий альбом от полных ноунеймов из региона Уэст-Мидлендс, которые даже не признаются из какого именно они города, probably Birmingham (голосом probably birmingham girl). По стилистике Little Juke сильнее всего напоминают Archive, вокалист одновременно похож и на Pollard Berrier, и на Dave Pen, а музыка одновременно тяготеет к пост-трип-хоп элементам и грязному гитарному звуку. Как и Archive, Little Juke обожают зависнуть на каком-то репетативном фрагменте, а затем позволить аккордной прогрессии плыть, видоизменяя восприятие того самого фрагмента, потому что одни и те же ноты пересопрягаются иначе в следующих аккордах. Довольно часто ноунеймы, которых я включаю в топ, это компромисс - отличные сонграйтеры, но с оговоркой, что уровень продакшена не дотягивает до огранки алмаза... и это вообще не случай Little Juke, их альбом звучит целостно, качественно и дорого, словно эталонный альбом известной группы, про который годы спустя будут говорить как о пике в карьере; так что их полтысячи слушателей на spotify выглядят нашедшими настоящий клад.
07. SIENNA SPIRO - SINK NOW, SWIM LATER
🇬🇧 UK, England / February 21 / 0,815 / 🌟
Spotify / Apple Music / Yandex Music
sophisti-pop / blue-eyed soul / smooth jazz
Дебютный мини-альбом Сиенны Спайро моментально вывел её в плеяду самых перспективных авторов-исполнителей, а некоторые критики небезосновательно называют её новой Адель, тем более, что Сиенна так же одержима мистической связью музыки и чисел. И правда - флёр Адель присутствует во всех восьми композициях “Sink Now, Swim Later”, Сиенна в лирике истязает себя как высококлассный ипохондрик, способный загнаться на любой теме от погоды до лишнего веса; но в то же время заметно насколько Сиенна избыточна в сравнении с Адель, как избыточны художники рококо в сравнении с суйбокуга (水墨画) - там, где Адель не будет множить сущности без необходимости, Сиенна Спайро и её соавторы используют все возможные ступени и переходы через dim аккорды, для создания максимального драматизма.
06. Dawid Tyszkowski - Mam szczęście
🇵🇱 Poland / February 28 / 0,823 / ☄️
Spotify / Apple Music / Yandex Music
jazz / indie / folk rock
Очень неожиданно слышать настолько взрослую и экспериментальную запись от молодого парня, который родился в 2002 году, (капелька благожелательного эйджизма). Всего-лишь пару лет назад он выпускал банальный инди-поп, какого тысячи, но среди всех песен была композиция “Koszulka”, с ритмом Хабанера, и тяготением к европейскому салонному классицизму, именно эта песня стала его самой успешной песней, и вероятно именно стремление к этому звучанию в итоге сформировало камерный приджазованный стиль альбома “Mam szczęście”, с обращением к фортепианным темам и мягкой электроникой.
05. Off Grid - SpiRituals
🇮🇱 Israel / January 14 / 0,849 / 🌌
Spotify / Apple Music / Yandex Music
progressive rock
Иногда пути вдохновения ощущаются совсем причудливо - молодая израильская группа звучит так, словно вдохновлена альбомом Octavarium от Dream Theater, которые в свою очередь в тот момент вдохновлялись новомодными Muse. В рамках такой двойной идентичности коллектив и разворачивает свой короткий, но насыщенный альбом, оступившись лишь один раз на треке “The Politician Song”, который звучит слишком примитивным панк-роком, совершенно не соответствуя сложным и эмоционально насыщенным остальным трекам. По глупому совпадению именно эту песню коллектив выбрал как единственный клип. В качестве своих ориентиров Off Grid называют Soundgarden и Led Zeppelin, чьи следы также можно найти, как например в “Hollow Smile” заметна фирменная сбивка Джона Бонэма.
04. flipturn - Burnout Days
🇺🇸 US, Florida / January 24 / 0,868 / 🌟
Spotify / Apple Music
indie rock / alternative rock
Саунд-дизайнерская изобретательность, меланхолическая стихия, хитроумные ударные и шершавый обволакивающий вокал Дилона Бэса: всё это группа flipturn, которая существует уже около 10 лет, но лишь в последние годы вышла на уровень полноценных лонгплеев, Burnout Days это их второй альбом. И я не зря фокусируюсь на ударных - их драммер Девон вон Балсон делает огромную работу, находя какой-то качевый и уникальный бит для каждой песни, это далеко не обычное инди, где под ровные четверти пронесётся весь альбом. Лирика здесь также на высоте: в “Sunlight” поймана сложная эмоция жизни в маленьком депрессивном городке, из которого не уезжаешь лишь потому, чтобы не бросать свою семью; или перекликается с “Невыносимой лёгкостью бытия” Милана Кундеры на “Right?”; или же ищет покоя в апатии в “Tides”.
03. Danefae - Trøst
🇩🇰 Denmark / January 31 / 0,890 / 🌌
Spotify / Apple Music
folk metal / progressive metal / progressive rock
Моё персональное открытие в этом выпуске - это юная группа Danefae с их вторым альбомом Trøst. Рейтинг ожиданий от скандинавского фолка сильно занижен - из-за однообразности всех увлекающихся фольклором металлистов это не событийно насыщенная музыка, и её можно слушать лишь фоном и под специфичное настроение... Но Danefae с первого же прослушивания сдувают весь скепсис, уже сейчас они звучат близко к уровню Vola, Pain of Salvation, Leprous и Haken, разве что уровня продакшена квартету недостаёт. Это не преувеличение - у группы есть грув, композиторские решения не дают заскучать, каждую минуту случается что-то совершенно новое, при этом яркие припевы, которые цепляют если не с первого, то со второго прослушивания уж точно. Есть вплетения и классической музыки, например, в открывающем треке “Fuglekongen” группа цитирует Camille Saint-Saëns “La danse macabre”. Почти 13-минутная “P.S. Far er død” вообще не чувствует времени, втягивает всё внимание внутрь, и не успеешь заметить как она уже закончилась... Ах, и эта огромная многосложная разработка в центре, в какой-то момент приходящая к вокальному наслоению в духе Агнес Обель. И даже языковая локальность датского языка не мешает - Anne Olesen звучит очень органично, стилизуя современные переживания под древнескандинавскую сагу, ради чего изредка обращаясь к более архаичному исландскому языку.
02. Solann - Si on sombre ce sera beau
🇫🇷 France / January 24 / 0,892 / ✨
Spotify / Apple Music / Yandex Music
alt-pop / chanson française
Несущественный один балл отличает первое место от второго, и решить какой альбом лучше - лично я совершенно не могу. Они даже похожи друг на друга: 13 песен, но первая - интро, в середине оба альбома спускаются в акустические песни, пригодные для того, чтобы сыграть их в любой компании, и оба альбома заканчиваются в высоком регистре. Путь Соланн Лис-Амбоян на вершину франкофонной музыки был очень коротким, несколько синглов, быстро укомпонованных в дебютный EP, который кстати заглянул в первую январскую часть моего дайджеста 2024, и вот год спустя она дебютирует с лонгплеем “Si on sombre ce sera beau”. Немножко жаль, что она оставила несколько прекрасных треков на EP, однако альбом настолько целостно выдержан по стилю, что более электронным трекам действительно здесь не было бы места. Тематика декаданса открыто заявлена в названии альбома, однако в каждой отдельной песне Solann перемещается между регистрами нежности и разрушения: от тематики телесности и желания исцелить кого-то похожего на себя, до варварских ноток: жечь, разрушать, обглодать до костей - образ femme sauvage это довольно уникальная особенность культурного контекста Франции.
01. Resa Saffa Park - Silver Bead Eyes
🇳🇴 Norway / February 28 / 0,893 / 🌙
Spotify / Apple Music
jazz pop / indie rock / folk
В противоположность Solann, путь к первому альбому Терезы Фростад Эггесбё был более длинным, начав вообще актрисой сериалов, она в качестве хобби выпустила пару синглов, затем перешла к серии мини-альбомов, каждый из которых имел в себе потрясающие песни. Особняком среди них стоит Spaces 2022-го, со всем моим опытом в музыкальном фуражировании, это один из лучших EP, что я слышала в своей жизни, настолько он целостный, собранный и плотный по материалу. Детство Терезы прошло в ОАЭ, где работали её норвежцы-родители, впитав наслоение разных культур, дающих ощущение чуждости в обоих. Собственно, её сценический псевдоним и есть отражение её арабского опыта: Реза как сокращение от Терезы - то как её звали местные в Дубае, пока она была ребёнком, аль Сафа это район Дубая, где её семья жила, и в котором есть парк, своеобразная копия Нью-Йоркского Сентрал-парк, разве что контраст зелени посреди пустынного ландшафта еще более выразителен. Дебютный альбом “Silver Bead Eyes” ни в одной песне не пересекается с её предыдущими EP, хотя по стилистике является развитием всего того опыта, что она обрела за 7 лет музицирования. Феноменальный альбом на всех уровнях, от лирики до гармонии; от первой же песни “Every Part of Me”, с остановкой на мелодраматическую “In Our Storm”, где в самом конце от обилия чувств Реза переходит на норвежский (Jeg kjente hjertet mitt dunke - я ощутила как колотится моё сердце), и до последней “My Autumn Leaves”, которая вовсе не тот самый джазовый стандарт, но столь же красивая композиция, написанная в соавторстве с небезызвестным Jordan Rakei.
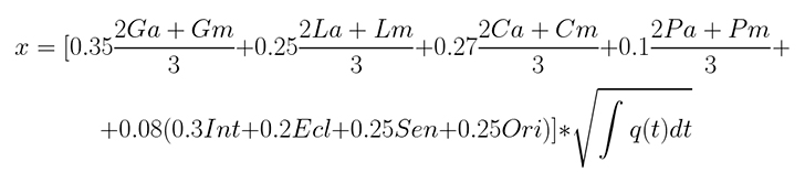
Маленькая пасхалка для тех, кто добрался до самого конца. Завершение одного года и начало другого это возможность изменить методику оценок. Вы могли заметить странно низкие цифры в баллах - я сильно изменила формулу, так что все оценки сдвинулись вниз, а разброс в баллах вырос, в дайджест попадают теперь 0,750+, а отметка в 0,900 стала труднодостижима. Новая формула намного строже, она наказывает альбомы за посредственный текст, за песни на стандартизированных аккордных прогрессиях а-ля [C F G Am], за чрезмерную затянутость, за желание делать ординарную музыку. Собственно вот сама формула:

Формула состоит из трёх частей, первая оценивает каждую песню альбома по критериям Groove, Lyrics, Complex и Perform, разделяя вес между средним арифметическим и медианой как 2:1. Я раздумывала над разными вариантами, от 1:1 до 3:1, в бонусной части на boosty и patreon тоже будет маленькая пасхалочка, с тем как бы выглядели места по старой формуле и по новой. Некоторые альбомы чувствуют себя стабильно, а другие сильно обваливаются или наоборот подскакивают.
Вторая часть формулы расставляет баллы не за отдельные песни, а сразу за весь альбом, оценивая показатели Integrity, Eclectic, Sensuousness и Originality. В самом конце расположен интеграл Римана, который высчитывается из каждой минуты альбома, это показатель насколько консистентно исполнитель поддерживает уровень качества в течение всей длины. Интеграл перемножает себя на предыдущую оценку, обе <1, и с одной стороны переподтверждает её, а с другой стороны это хороший предохранитель от некоторых прогрессивных/авангардных альбомов, которые имеют небольшое число очень длинных песен, что позволяло абузить старую систему: если песня имела мощные фрагменты, то именно за них она получала оценку, а то, что остальная песня чрезмерно затянута - приходилось игнорировать. Интересным кейсом был альбом “Omnerod - The Amensal Rise” 2023-го, который обсуждался в моём круге общения, и который местами звучит исключительно хорошо, но разбавляется огромными гнетущими и утомительными кусками, и оставляет после себя скорее негативное впечатление. Интеграл защищает формулу от такого взлома.
Зачем нужен корень из интеграла, а не просто интеграл? Потому что в таком случае наказание получается слишком строгим. В идеальном сценарии интеграл даёт 1, что бывает крайне редко, но корень из чисел меньше единицы даёт асимптотическое приближение к единице, что смягчает наказание, и делает его существенным, но не настолько опрокидывающим вниз.
Несложно заметить, что общий вес всех частей формулы составляет 105%. Так получилось из-за процесса нормирования: я выбрала около 20 эталонных альбомов, которые на агрегаторах имели рейтинг 90-97, таких как “Radiohead - In Rainbows” или “Jeff Buckley - Grace”, затем подогнала вес отдельных переменных так, чтобы с одной стороны они давали похожую оценку, а с другой стороны удовлетворяли моим ощущениям того, что в песне более значимо. Если выставить общий вес на 100%, то даже альбомы на 0,850 будут редкостью, что мне не очень нравится. Я не находила ни одного альбома, который бы набрал 1.000 или больше, но если такое случится, то я добавлю в формулу сигмоиду, или какую-то похожую функцию из нелинейной алгебры.

Поддержите выпуск новых частей дайджеста вашей подпиской на Boosty.

